TinToll Performance Materials Co., Ltd.
TinToll Performance Materials Co., Ltd.

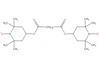
Sự trùng hợp chất ức chế gốc tự do của các monome không bão hòa thường lan truyền qua các gốc C, và chúng có thể ức chế sự trùng hợp bằng cách kết hợp với các gốc tự do khác để tạo thành các loài trung tính. Các gốc tự do ổn định tintoll bao gồm 4-hydroxy Tempo, 4-oxo-tempo, tri-( 4-hydroxy-tempo) phosphite và BIS (2,2,6,6-tetramethyl-4-piperidyl-1-oxyl) sebacate, chúng là những loài ăn xác thối gốc tự do rất hiệu quả.

Các loại chất ức chế trùng hợp

Các loại chất ức chế trùng hợp

Chất ức chế trùng hợp LÀ GÌ?

Chất ức chế trùng hợp LÀ GÌ?

Chất ức chế trùng hợp là các phân tử phản ứng phản ứng với các chuỗi Polymer kéo dài. Chúng được sử dụng để ổn định monome và ngăn ánh sáng, nhiệt và không khí bắt đầu trùng hợp.

Chất ức chế trùng hợp làPhụ gia chức năngĐó là điều cần thiết để lưu trữ và xử lý monome an toàn.

Thêm một lượng nhỏ chất ức chế có thể ngăn chặn phản ứng dây chuyền trùng hợp hoặc làm chậm đáng kể tốc độ của nó.

Một số chất ức chế trùng hợp phổ biến bao gồm Hydroquinone và nitrosamine. Tuy nhiên, các chất ức chế trùng hợp truyền thống, chẳng hạn như Hydroquinone, không thể ngăn chặn sự trùng hợp trong một số điều kiện nhất định.

Sự trùng hợp gốc tự do của các monome không bão hòa thường lan truyền qua các gốc C, và chúng có thể ức chế sự trùng hợp bằng cách kết hợp với các gốc tự do khác để tạo thành các loài trung tính.TintollCác gốc tự do ổn định bao gồm 4-hydroxy Tempo, 4-oxo-tempo, tri-( 4-hydroxy-tempo) phosphite và BIS (2,2,6,6-tetramethyl-4-piperidyl-1-oxyl) sebacate, chúng là những loài ăn xác thối gốc tự do rất hiệu quả.


Reqest một mẫu? Yêu cầu báo Giá? Câu hỏi kỹ thuật? Tìm Nhà phân phối?